公開日 2015/03/15
更新日 2026/01/20
【中学数学】意外と理解させるのが難しい!三平方の定理の分かりやすい教え方
数学2で扱う、2点間の距離について説明します。ご存知の方も多いと思いますが、生徒さんが知っているかどうかを確認しておいて下さい。
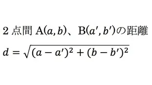
2点間の距離の公式

dはdistanceの意味です。
この公式を学習する単元では、同じような公式(内分、外分の公式、点と直線の距離など)が多く紹介されているので、公式の丸暗記を避けるためにも、意味をきちんと理解できていることが望ましいです。
ピタゴラスの定理(三平方の定理)

これは馴染みが深いですね。三平方の定理と、2点間の距離の公式を関連づけて説明していきます。
xy座標上に任意の2点AとBを取り、座標を書きます。
更に、AとBを結び、三角形ABCを以下のように描きます。
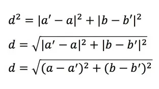
三角形ABCに三平方の定理を適用します。
AC=|b-b'|、BC=|a'-a|となります。
大小関係が不明なため、絶対値を用いましたが、数学が苦手な生徒さんには絶対値を外して説明した方がいいかもしれません。
あとは先ほどの三平方の定理を用います。

AB=dとおくと、
これで2点間の距離の公式が得られました。
運営部おすすめ記事
理系のあなたに!国語ってどうして勉強するか知ってますか?
【塾講師必見】国語の教え方はこれだ!そもそも国語って何を教えるの?


