仕事算を2通りの解き方でマスターしよう!【小学生・算数】
今回は小学生算数の仕事算を解説します!
解き方が2パターンあるのは知っていましたか?
基本から解説していきます。
仕事算とは?
久しぶりに仕事算を扱う人のために、辞書による説明を引用しておきます。
”仕事を主題とした算術の応用問題。ある仕事を仕上げるのに A は八日間, B は六日間かかる。二人共同ですれば何日間で仕上がるか」というような問題。”
就活のSPIにも頻出です。
就活生のみなさんも確認しておいて下さい。
基本問題
例題:Aさんがすると12時間、Bさんがすると6時間かかる仕事があります。この仕事を2人一緒にすると何時間かかるでしょうか。
仕事全体を1と仮定して解く方法
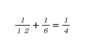
仕事全体を1とすると、Aは12時間で終わるのでAが1時間にする仕事の量は全体の12分の1です。Bだと6時間で終わるのでBが1時間にする仕事の量は6分の1です。

AとBが2人で一緒に1時間にする仕事の量は

になります。よって、求める答えは、

になります。
仕事全体を仕事の時間や日数の公倍数で仮定して解く方法
仕事全体を12時間(Aの仕事にかかる時間)と6時間(Bの仕事にかかる時間)の最小公倍数である、12とします。
AとBが2人で一緒に1時間にする仕事の量は

AとBが2人で一緒に1時間にする仕事の量は

になります。よって、求める答えは、

になります。
応用問題
問い:Aさんが1人ですると36日、AさんとBさん2人が一緒にすると12日かかる仕事があります。この仕事をBさんが1人ですると何日かかりますか。
仕事全体を1と仮定して解く方法

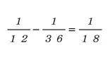
Bさんが1日にする仕事の量は

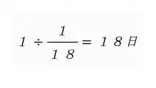
求める答えは、

仕事全体を仕事の時間や日数の公倍数で仮定して解く方法
仕事全体を36日(Aの仕事にかかる日数)と12日(AとBの時の日数)の最小公倍数である、36とします。

Bさんが1日にする仕事の量は

よって求める答えは、

小学生対象の塾講師求人もたくさん!
集団指導の求人はこちら!↓

