【必読】関数のグラフに関する指導の要点まとめ~指数関数~
指数関数のグラフは利用分野多し!理系学生なら必須!
本記事の指導対象学年:高校2年生
関数のグラフに関する指導の要点まとめシリーズの第4回である本記事では指数関数に絞って執筆していきたいと思います.
2次関数や3次関数とは違い,字面ではイメージをしづらいのが指数関数です.指数関数を指導するために必要な要点を押さえて,これまでの記事と同様にグラフの特徴に関する要点を解説していきたいと思います.
指数とは? 用語を確認させよう!
これまで執筆してきた1次関数や2次関数,3次関数よりも,「指数関数とは何か」と言われたときに,イメージしづらい生徒が多いのではないかと思います.
「指数を関数にしてグラフにする」と最初の授業でいわれて,「あぁ,指数ね.」という風に直感的にわかる生徒は2次関数や3次関数と比較すると,決して多いとは言えません.
したがって,私は授業の際には指数とは何かという用語の再確認から指導するのが良いと考えています.
では,順を追って要点を押さえていきます.
指数の基礎
用語の確認
初めに,そもそも指数とは何かということを伝える必要があるのは,明らかであると思います.

指数とはこのように,10の何とか乗の何とかを指す数字のことでした.
指数の違い
では,指数が何かということを伝えたうえで,基本的なところから考えていきます.
指数を関数として考えるのですから,指数の部分の色々なパターンを抑えることです.
0の場合
どのような数に対しても0乗は1!
このことは一言添えるだけでも良いですが,それだけだとイメージがわきづらいので例えば以下のような例をいくつか挙げて見せてあげると理解しやすいかと思います.

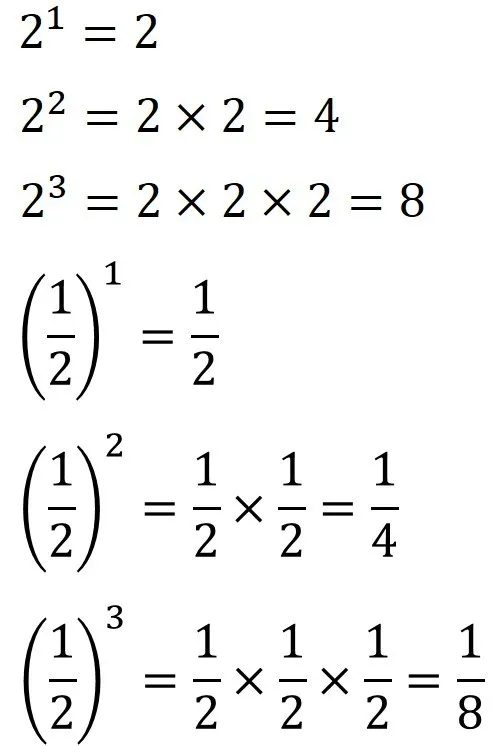
正の整数の場合
正の整数の場合はどうなるでしょうか?
ここは復習程度にいくつか例を紹介するので良いかと思いますが,分数の場合につまづく生徒もいるので,分数の場合はクラスによっては少し丁寧に行ったほうがよいかもしれませんね.

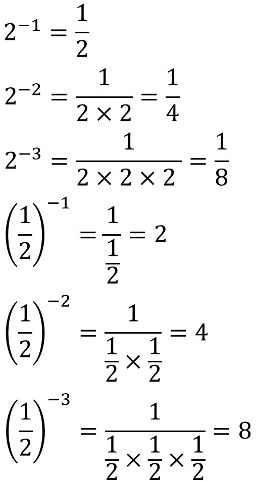
負の整数の場合
指数が負の整数の場合は以下のようになります.
ここで伝えることは,指数が正の整数の場合と結果がある意味逆になっていることでしょう.
2と1/2の何とか乗を紹介していますが,逆になっていますね.このことを伝えられるような例を用意していくと、より良いかと思います.

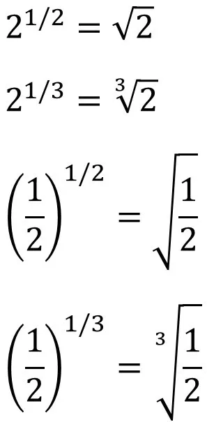
有理数の場合
さて,有理数の場合・・・と言っても有理数とは何かを端的に伝える必要がありますが,一言.
分数で表せる数
と言っておきましょう.指数が分数の場合を紹介するとすっきりすると思います.

何回かけたら,2になるのか.何回かけたら1/2になるのか.
このことを問いかけて,みると,おのずとルートが出てくるかと思います.
3乗根は3回かけたらルートの中身になるという定義でしたね.このことをヒントに生徒が理解しているかを確認するのも良いかと思います.
無理数の場合
実数とは,有理数と無理数の集まりです.有理数の場合が考えられているので,最後に考えるのは無理数の場合がどうかということを考えればよいのですが,高校生が初見でこの場合を考えるのはかなり難しいかと思います.ですから,一言,無理数の場合も定義できるということを伝えて,これも例を紹介するのば良いと思います.例えば以下のようにです.
![]()
指数関数の基本形とそのグラフ
さて,なぜ,上記の解説をしたのでしょうかというと,グラフを書くためです.
上記の解説から,
のxはすべての実数でOKということを伝えました.
おそらく,少しでもできる生徒であれば,指数が有理数や無理数の場合も考えないとグラフが書けないのではと考えるだろうと思います.逆にこちらから,指数は正の整数だけでいいのか?という疑問を投げかけるということもできます.
指数はすべての実数で定義できる
このことは伝えておきたいですね.
さて,話が少しそれましたが,本題に戻りましょう.グラフの概形の説明に入っていきます.
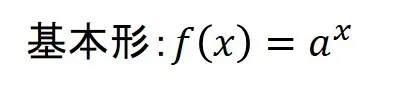
基本形とそのグラフ
指数関数の基本形は以下の式で表されます.
![]()
2次関数のようにaの値を変化させることで,グラフの形が決まっていきます.
ここでは,a=2の場合のグラフを例として描いて見せてみます.

底を変化させたグラフ
概形を記したら,次に底を様々な値に変化させて生徒に見せてみましょう.


このようにいくつか例を示すことで生徒も気づくことがありますね.
指数関数
のグラフは,aの値によらず,x=0のときy=1を通る.
これは指数関数のグラフにおいて重要な性質の1つなのでしっかりと伝えておきましょう.
なぜか,という説明は冒頭で記した,どのように大きな(小さな)数でも0乗は1ということを一言添えればよいでしょう.
底に関して
底は正の場合のみ!
このことは次回の記事で執筆予定の対数関数でも同様ですが,指数関数や対数関数においては底は正の場合のみを考えることを強調しておくことが大切です.
例えば以下の指数関数を考えてみます.

この時,底が正と負の2パターンを考えると,f(x)は以下の値となります.

f(x)の値が正と負を行き来してしまい,飛び飛びの値になってしまうということを伝えると,直感的に正のみを考えると伝えられるかと思います.
グラフの移動
さて,次にこれまでの記事とも同様にグラフの移動について記述していきます.
初めにおさらいです.グラフの移動に関する要点は以下の通りでした.

すると,平行移動,対象移動は以下のようになります.
平行移動
x軸方向

y軸方向

対称移動
x軸に関して

y軸に関して

対象移動のポイント
対象移動に関して,以下の点を伝えておくと良いかと思います.
まず,次の2つの例を見せてみます.


この2つを見せることで,
と
は同じ関数であることを視覚的に伝えることができますね.
もちろん,理由は冒頭で紹介した以下の例です.

正の指数の部分を負に変えると,

となり,逆数になるからですね.
このあたりも考慮して授業の冒頭で扱う例を考えておくことが良いです.
指数関数で表される現象の例
ここまでで指数関数のグラフに関してまとめを行いました.
指数関数は他の科目でも出てくるので,しっかりと理解してもらいましょう.
曽呂利 新左衛門の米の褒美
教科書でよく紹介されているお米の褒美の話です.
曽呂利 新左衛門とは豊富秀吉に仕えたとされる人物です.秀吉から褒美をもらえることになり,希望を以下のように伝えたことで知られる人物です.
「初日は米1粒、翌日には倍の2粒、その翌日にはその倍の4粒と、日ごとに倍の量の米を100日間欲しい」
このことを計算するのに指数関数を用いることができます.
初日の米の粒数を1,底を2として,xは日数としてみると,x日目のコメの量は以下の式であらわされます.
![]()
したがって,100日目の米数は
![]()
すると,10の30乗は100穣(じょう)粒(穣は一,十,百,千,万,億,兆,京,垓,杼,穣)となります.
途方もない数ですね!
”何とか乗”を表す指数関数はすぐに途方もない数になりますね.
x=100のとき,1次関数では100,2次関数では10000,3次関数では1000000ですし,ケタの違いがとてつもないですね.このようにイメージやすい例を探すことも重要です.
原子核の半減期
物理で習う原子核の半減期に関する計算で指数関数が出てきます.
範囲が物理になるので詳細は割愛しますが,時間がたつにつれて原子数が半分(=1/2)になる現象があり,時刻tのときの原子数を計算するのに指数関数が利用されます.

その他
上記ではなるべくわかり易い,物理を例として紹介しました.
実際の授業では,すべてを紹介していくと,時間的制約もあるので,このような場面で指数関数が出てくるということを伝えておくと良いです.
例えば生物では,生物の個体数(例えば人口)も指数関数で予測モデルが提案されていますし,化学の教科では化学反応の速度の計算です.
クラスの生徒に合わせて適切な例を1つ紹介してあげましょう.
まとめ
この記事で大切なことは2つです.
指数関数はイメージしづらいので具体例を紹介
指数関数は理系科目とは切っても切れない運命にある
生徒に合わせてなるべくわかり易い具体例を探して挑みましょう.
そして,指数関数は様々な科目でも利用されており,理系を学ぶ学生は必ず理解しなくてはならないということを強調しておきましょう.
これまでのシリーズ
関数のグラフに関する指導の要点まとめ
第1回 基本のき http://www.juku.st/info/entry/1122
第2回 2次関数 http://www.juku.st/info/entry/1134
第3回 3次関数 http://www.juku.st/info/entry/1153
こちらも合わせて読んでいただけると、指導の方針がはっきりすると思います.
ぜひご活用ください.