公開日 2014/06/15
更新日 2021/12/17
【電車と一緒に運動!?】慣性系と非慣性系を使い分けよう!!
慣性系と非慣性系
今回は慣性系と非慣性系について扱います。物理の基本なのでしっかり押さえておいて下さいね。
慣性系
外力を受けない物体が静止もしくは等速直線運動するという慣性の法則が成り立つ座標系
慣性系は、観測者が電車の外にいる場合。
電車の運動とは全く関係のないところから電車の中の物体を観測する。
非慣性系
加速度運動する座標系から物体を観測する座標系
観測者が実際に電車の中にいる場合。
観測者も電車と一緒に運動している。
慣性系・非慣性系の問題文と言えばこんな感じでしょうか。
なめらかな床を持つ静止した電車の中で、小球(質量m)が静止している。
今、電車が加速度aで等加速度運動を始めたとする。
地面に固定した座標軸をx軸(慣性系)、電車の床に固定した座標軸をX軸とする。
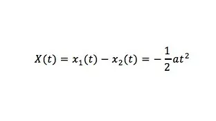
非慣性系で見た小球
電車の外から見ると小球には水平方向に力が働かないので静止したままである。

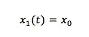
電車の位置は、
![]()
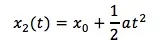
慣性系で見た小球
電車の中から見ると小球は電車の進行方向と逆に動く。(電車の床に対してーaの加速度を持つように見える。)
最初の位置を0とすると、

図で表すと、以下のようになります。


