確率・場合の数の超基本!!計算方法のまとめ
確率・場合の数の超基本!!計算方法のまとめ
今回は確率・場合の数の基本的な計算の仕方や記号の使い方(!、P、C)を確認します。
非常に基本的な部分ですが、意味を理解していないと計算ができません。
生徒さんと一緒に確認して下さい。
確率・場合の数の超基本!!計算方法のまとめ
確率・場合の数の超基本!!基本問題まとめ
階乗(!)
正の整数nから1つずつ小さい整数を1まで順に掛けた積を n!で表します。
n!=n×(n-1)×・・・×3×2×1
「nの階乗(かいじょう)」と読みます。
階乗は、正の整数に対して定義されています。
<注意>
以下は定義されません。
(-5)! のような「負の数の階乗」
4.5! のような「小数値の階乗」
2/3のような「分数の階乗」
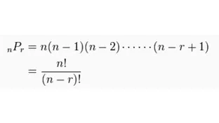
順列(P)
nPrは、区別するn個のものからr個取り出して1列に並べる順列の数
Pはpermutationの頭文字です。
計算方法は、
簡単に言うと、
nから1つずつ数字を小さくしてr番目の数までの積になります。
先ほどの階乗との関係は、
をまとめると、
n、rは0以上の整数、n≧rとするとき、
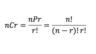
組み合わせ(C)
nCrは、異なるn個の ものから,異なるr個のものを選ぶ組合せの総数です。
Cはcombinationの頭文字です。
計算方法は、
n、rは0以上の整数、n≧rとするとき、
nPrの値をr!で割ります。
計算練習


最後までご覧にいただきありがとうございました。
あなたはこの問題を正解できましたか?わからなかった方はもう一度最初からこの記事を読むことをお勧めします。
塾講師ステーションにはこのほかにもあなたのお探しの情報があると思います。
是非ご活用ください!
