公開日 2014/06/21
更新日 2021/12/17
【数学講師必見】数学の授業に生かそう!黄金比の不思議(フィボナッチ数列)
今回はフィボナッチ数列と黄金比の関係を紹介します。そういえば、大学院の試験の過去問に出題されていましたね…面白い関係なのでまめ知識としても是非!
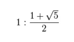
黄金比とは?

近似値は 1:1.618 ≒ 5:8 になります。
最も美しい比と言われています。人工物でも芸術作品や建造物に多く使われていて、名刺の辺の比も黄金比です。
自然界ではオウムガイの螺旋が有名です。
オウムガイは黄金比で作った長方形(黄金長方形)の中に円を描くように形成します。
黄金長方形から短辺を一辺とする正方形を取り除くと、残る部分はまた黄金長方形になります。

フィボナッチ数列とは?
フィボナッチ数というのは,
0,1,1,2,3,5,8,13,21,34,55…
となる数です。これらの数は,初めに0,1をおいて,最後の数とその前の数をたした数を次の数としています。
0,1
0+1=1
1+1=2
2+1=3
3+2=5
5+3=8
イタリアの数学者レオナルド・フィボナッチ(ピサのレオナルド)にちなんで名付けられました。
一般的に定義すると次のようになります。
これは2つの初期条件を持つ漸化式になります。
フィボナッチ数列と黄金比の関係
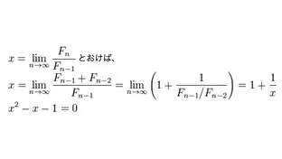
隣り合うフィボナッチ数の比を考えてみましょう。

1.6ぐらいになることが予測できますね。
ではnを無限に飛ばした時はどうなるでしょうか。


黄金比が出てきましたね。
隣り合うフィボナッチ数列の比はnを+∞に発散させると黄金比に近づきます。