公開日 2014/06/21
更新日 2024/08/15
極限の解消方法を分かりやすく教えるコツ【高校数学】
不定形の極限の求め方をまとめておきます。
受験生のみなさん、確認しておいて下さい。
不定形の極限
「不定形の極限」とは,式が見かけ上,
∞-∞, ∞∞, 0×∞, 00
のように相反する向きに引っ張り合っているような場合です。
不定形の極限では,式を変形して強弱が分かる形に直してから極限を求めます。
今回は、検討すべき順番に並べてみました。
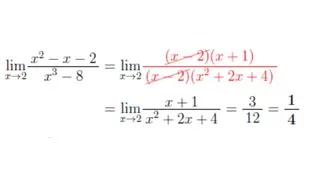
方法1:因数分解→約分
一番基本的な方法です。多項式の分数になっている場合は、特に、因数分解できるかを最初に検討しましょう。
因数分解にすぐ気付くためにも、計算練習を積んでおきましょう。

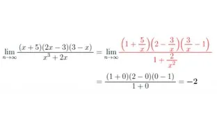
方法2:最高次の項でくくり出す、もしくは分母分子を割る
最高時の項のくくり出しによって、∞ー∞の不定形を∞×(0でない定数)に変形できます。

分母、もしくは、分子の最高時の項で分母・分子を割ることで、∞/∞の不定形を解消できます。

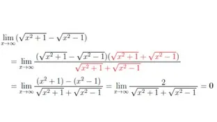
方法3:有理化
式の形からすぐに気付くことができると思います。(√の多項式)±(多項式)の場合、ほとんどが有理化によって解消できます。

方法4:ロピタルの定理
高校数学では、グレーゾーンで有名なロピタルの定理です。
極限値だけ問われた場合には便利なので、覚えておきましょう。0/0になる極限を求められます。

参考:受験の月(←数学のおすすめサイトです!)
最後までご覧いただきありがとうございます。
塾講師ステーションにはこのほかにもあなたのお探しの情報があると思います。
是非ご活用ください!

