公開日 2014/06/14
更新日 2021/12/17
【算数科講師】微分の基本を分かりやすく伝えよう!
微分で登場するキーワード
関数

極限

平均変化率

微分係数

簡単に言うと、さきほど平均変化率で、点Pと点Q間の傾きを求めましたが、
点Qが点Pに重なるぐらい近づいた時の値はどうなりますか?
という意味です。具体的に考えると、
点P( a, f(a) )と点Q( a+0.00000001, f(a+0.00000001) )の傾きは何ですか?
という意味です。
注:0.00000001はとてもとても小さい値という意味で書いています。イメージできれば、10億分の1でも何でも構いません。

導関数
いよいよ導関数です!
導関数

xの関数f(x)から、導関数f’(x)を求めることを、f(x)を(xについて)微分するといいます。
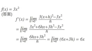
導関数の求め方
先ほどの定義に従って、導関数を求めると以下のようになります。

結構、面倒くさいですよね…
そこで、こんな公式が存在します!
これで、先ほどの問題を解いてみると、

簡単に求めることができました。
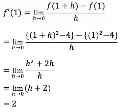
微分係数の求め方

定義通りの求め方

導関数を求めてから、微分係数を求める方法
