【バットマンを数式で表すとどうなる?】絵で関数の楽しさを伝えよう!
関数を初めて教える際のコツ
小学校の算数とは違い,中学校の数学で初めて出てくる単語の1つに”関数”があります.
関数をこれから習う生徒に,関数とは何かと聞かれたとき,あなたはなんと答えますか?
「こういうのだよ!」といってy=xを紹介しますか?
これではその生徒は関数とは何かわからず,もやもやしたまま授業を受けることになってしまいます.
関数をうまく説明するにはどのようにすればよいでしょうか?
関数という言葉に惑わされないことが重要であると私は考えています.
生徒がおそらく,人生で初めて習う関数は1次関数ですが,例えば、1次関数の単元を初めて教えるときの授業を考えてみます.
1次関数?
もともと数学が苦手な生徒から見たら,「???」
ある程度得意な生徒でも,「関数?」となってしまいますよね.
”1次”の意味は分かっても,結局,”関数”とは何か,よくわからないままになってしまうのではないでしょうか?
中学,高校と習い続ける関数を一言で説明するにはどうするか.さらに,関数という言葉に興味を持ってもらうためのお勧めの例を紹介したいと思います.
関数を一言で説明するコツ
関数を英訳するとFunctionとなります.
では,逆にFunctionを和訳すると何になるでしょうか.
もちろん,Functionには関数という意味もありますが,”機能”という意味があることを思い返してみたいと思います.
ここで,関数をこの記事では以下のように記述します.
y=f(x)
あえて,関数=Functionであることを意識するためにこのように書きます.
このことを前提に初めにいくつかの関数に触れていきたいと思います.
中学生に関数を説明する際のおすすめ例
1次関数
簡単な関数の1つは以下の関数かと思います.
y=2x
関数ということを意識するためにこの関数を以下のように書き直してみます.
f(x)=2x
読者の皆さんも見慣れた形式ですが,このとき,関数は何を表すのでしょうか?
以下の図を見ていただくと,概要をつかんでいただけると思います.

魔法の箱(上図中の黒い長方形)はとにかくなんだかよくわからない魔法の箱とでもしておきましょう.
この魔法の箱にxという数を入れるとなぜかその出力される数は必ず2倍である2xになってしまう.
このような魔法の箱.この2倍するという働きをもつ箱を関数というと説明すると,中学生に図でわかり易く解説することができます.
2次関数
では2次関数も見てみましょう.

とします.この場合,f(x)という関数,すなわち,機能は,
「入力xを2回かけた値を出します.」
という機能(=魔法の箱)とみることができます.
ですから,同じ数を2回かけるという機能を持つ関数が2次関数であるということができます.
2を何回かけたら8になる?
発展課題として,このようなことを生徒に聞いてみると,この関数という意味が理解できているか確認ができます.
2を何回かかけると,8になります.
さぁ,2を何回かけると8になりますか?
「3!」
おそらく,中学1年生に聞いたとしても,多くの生徒から帰ってくる答えだと思います.
そうです.その生徒は今,下の問題を無意識のうちに解いてしまいました.

log2という関数は何かわからなくても,2を何回かけると,8になるのかがわかる機能だと説明してしまえば,関数に対するアレルギーもある程度はなくすことができると思います.
関数は魔法の箱である
さて,「なんだかよくわからないけれど,とにかく魔法の箱に入れると数字が変わって出てくる.」
このことを先に生徒には伝えてしまいます.
そして,改めて,以下の図で説明してみましょう.

なんだかよくわからないけれど,箱に入れると数が2乗されて出てくる.
この箱を数学の世界ではこう置き換えます.

このことで2次関数の本質は2乗にあることが伝えられます.
そして、高校生が対象の場合はいろいろな書き方はありますが,2次関数のグラフの本質は2乗であること,形が同じまま2乗のかっこの中身を変えることで、グラフ上で頂点の場所が移動したり,マイナスをかけることでグラフの上下が逆になったりすることを伝えてグラフ説明をすると、式変形する際のイメージがわきやすいでしょう。
関数そのものに興味をもってもらうコツ
ここまで,関数とは機能であると話を書いてきましたが,そもそも数学が面白くないと思っている生徒から見たら,興味を持ってもらうことがスタートであることもあるかと思います.
それでは,次に視点を変えて,「関数を極めるとこんなことまでできる!」そんな例を紹介してみてはいかがでしょうか?
「関数はグラフとして表せる.」ーこのことは説明する必要はないかと思いますので,ここでは,グラフにすると面白い数式を紹介したいと思います.
ハートの方程式
さて,突然ですが,以下の数式を紹介したいと思います.

この数式をグラフで書くと,以下のようにハートの形が描けることがわかっています.

そして,この数式にはこのような逸話があるのをご存知ですか?
例えばその逸話を授業中にこんな風に紹介してみてはいかがでしょうか?
「とある数学科の男子学生が,好きな女の子にこの数式を紙に書いて送りました.
そうです,愛の告白です.
おそらくその学生は,頑張ってこの数式を探したのだと思います.
そして,その彼女から帰ってきた答えは以下の2つ数式だったそうです.
y= x
y=-x
想像してみてください.2本の直線が原点で交わっています.
これをハートの方程式にかぶせるとこうなります.

そうです,その学生は見事に振られたのです.
この数式を送った彼もすごいですが,この数式を見てハートだと分かった女子学生もなかなかのつわものですね.
そして,こう問いかけてみましょう.
「ではOKをもらうにはどうすればいいですか?

そうです,円(=〇)が描ける関数が帰って来れば,その学生は幸せだったのですね.
では,円がかける関数はあるのでしょうか?あります!・・・」
といった具合です.
中学生は恋愛話が大好きです.このような,例と話を紹介すると少しは興味を持ってもらえるのではないでしょうか?
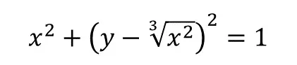
バットマンの公式

実は,この数式,グラフに書くと,バットマンのロゴになることがわかっています.

関数という言葉が使われている例
さて,最後に,関数という言葉は数学の世界だけではなく,様々な分野で使用されている言葉であることを紹介して終わります.
例えば,コンピュータプログラムの世界でも関数という言葉は日常的に使われています.コンピュータプログラムの分野では,数学以上に「関数とは機能である」という意味が強いです.
ほかにも,生徒が,高校生になったとき,情報の授業を受ける際に出てきます.
それはMicrosoftのOffice:Excelです.Excelには関数(=例えば,指定した数を全部足し合わせるのような機能を関数と呼んでいます)が用意されています.
生徒が初めてExcelを習ったときのことを考えてみます.
「関数?なんで?まぁいいや.」
…
…
待ってください.それでいいのでしょうか?
数学の時間にたった一言添えて説明するだけです.
「関数とは機能です.」
このことを知っているか否かで,生徒が将来,プログラムを学ぶにしろ,Excelを学ぶにしろ,初めの理解やハードルは変わるように思います.
この記事では以上の2点が大切なポイントでした。改めて確認してみてくださいね!
関数とは"機能"である
関数を教える際には、絵を描いて数式で表現してみることで生徒に親近感を沸かせることができる
運営部おすすめ記事
理系のあなたに!国語ってどうして勉強するか知ってますか?
【塾講師必見】国語の教え方はこれだ!そもそも国語って何を教えるの?



